先进材料与智能测试
1. Xiang Zhang, Xiudong Yu, Haishun Liu, Weiming Yang, Xiang Xiong, Changjiu Chen, Yu Xie. Ultrafast degradation of Azo dye using surface-activated Fe-based metallic glass. Surfaces and Interfaces 2025, 59(15),105938
论文链接:https://doi.org/10.1016/j.surfin.2025.105938
2. Xiang Zhang, Yingjie Song, Haishun Liu, Xiang Xiong, Weiming Yang, Chenkang Han. High-temperature oxidation and crystallization mechanism of Fe73.5Si13.5B9Cu1Nb3 amorphous alloy. Acta Physica Sinica 2025,
3. Na Li, Ye Xing, Kefan Jiang. Production of singly charm pentaquarks from meson-baryon interactions in B-meson decay. Physical Review D 2024, 109(9), 096019.

论文链接:https://doi.org/10.1103/PhysRevD.109.096019
4. Na Li, Ye Xing, Xiaohui Hu. The production of charm pentaquark from B meson within SU(3) analysis. The European Physical Journal C 2023, 83(11), 1013

论文链接:https://doi.org/10.1140/epjc/s10052-023-12188-1
5. Ke Wu, Wenjie Yang, Lulu Guo, Zhimin Yang, Mingzhi Jiao. Two birds with one stone: impedance–voltage dual-mode low humidity sensor based on LiBr-MOF-801 with high response. Small 2024, 20(47), 2404160.
论文链接:https://doi.org/10.1002/smll.202404160
6. Ke Wu, Lulu Guo, Wei Wang, Zhimin Yang, Haishun Liu. Cu(II) coordination MOF-303 based dual-functional sensor for precisely detecting and distinguishing humidity and temperature with multifunction applications. Sensors and Actuators: B. Chemical 2024, 417, 136174.
论文链接:https://doi.org/10.1016/j.snb.2024.136174
7. Qi Jiang, Haishun Liu, Jinyan Li, Dengfeng Yang, Yue Zhang, Weiming Yang. Atomic-level understanding of crystallization in the selective laser melting of Fe50Ni50 amorphous alloy. Additive Manufacturing 2020, 34, 101369.
论文链接:https://doi.org/10.1016/j.addma.2020.101369
8. Haishun Liu, Shanzhi Wang, Yan Ma, Wenyu Li, Hongyang Li, Zhiqiang Xue, Chunhao Yin, Akihisa Inoue, Weiming Yang. Selective laser melting of permalloy magnetic core with complex geometry. Journal of Magnetism and Magnetic Materials 2023, 580, 170962

论文链接:https://doi.org/10.1016/j.jmmm.2023.170962
9. Wei Zhang, Yunqiu Yang, Na Li, Yimin Liu, Tianxu Kou, Danni Cui, Yaxuan Shen, Xianqing Yang, Wei Chen. Scaling law of correlated diffusion of colloidal particles confined to a rugged surface. Physics of Fluids 2023, 35 (5), 057113.

论文链接:https://doi.org/10.1063/5.0147174
10. Wei Zhang, Yuanyuan Gou, Li Cheng, Kaiwei Dong, Yijie Sheng, Chao Ye, Xianqing Yang, Yuguang Mu. Revealing the biotoxicity of phosphorene oxide nanosheets based on the villin headpiece. Physical Chemistry Chemical Physics 2023, 25 (4), 3100-3109.


论文链接:https://doi.org/10.1039/D2CP04080H
超材料
1. S. Liu, Y. Yang*, M. Li, B. Yang, X. Shen, L. Shi, W. Zhao, Z. H. Hang, Coupled pseudo-magnetic field and valley spin in photonic crystals. APL Photonics 10, 036112 (2025).
论文链接:https://doi.org/10.1063/5.0243034
2. Y. Yang*, J. Zhang, B. Yang, S. Liu, W. Zhang, X. Shen, L. Shi, and Z. H. Hang, Photonic Dirac waveguide in inhomogeneous spoof surface plasmonic metasurfaces. Nanophotonics, 13, 3847-3854 (2024).
论文链接:https://doi.org/10.1515/nanoph-2024-0200
3. B. Liu, Y. Li, B. Yang, X. Shen, Y. Yang*, Z. H. Hang, and M. Ezawa*, Experimental observation of non-Hermitian higher-order skin interface states in topological electric circuits, Phys. Rev. Res. 5, 043034 (2023).
论文链接:https://doi.org/10.1103/PhysRevResearch.5.043034
4. Y. Yang*, X. Qian, L. Shi, X. Shen and Z. H. Hang*, Unidirectional transport in amorphous topological photonic crystals, Sci. China-Phys. Mec. Astron. 66, 274212 (2023).
论文链接:https://doi.org/10.1007/s11433-023-2093-9
5. Rui-Peng Wang#, Tao-Tao Yu#, Muhammad Asif Shakoori, Ming-Jun Han, Yu-Xiao Hu, Ho-Kin Tang*, Hai-Peng Li*. Phonon Thermal Transport at Interfaces of Graphene/Quasi-Hexagonal Phase Fullerene Heterostructure. Chin. Phys. Lett. 42, 046601 (2025).


论文链接:https://doi.org/10.1088/0256-307X/42/4/046601
6. Menglinn Li, Muhammad Asif Shakoori, Ruipeng Wang, Haipeng Li*. Phonon Thermal Transport at Interfaces of a Graphene/Vertically Aligned Carbon Nanotubes/Hexagonal Boron Nitride Sandwiched Heterostructure. Chin. Phys. Lett. 41, 016302 (2024).
![]() |
论文链接:https://doi.org/10.1088/0256-307X/41/1/016302
7. Yang Ziqiang, Wang Ruipeng, Li Haipeng*, Tang Ho-Kin, Han Kui*. Phonon thermal transport in polycrystalline graphene: Effects of grain, vacancy and strain. International Journal of Heat and Mass Transfer 209, 124057 (2023).

论文链接:https://doi.org/10.1016/j.ijheatmasstransfer.2023.124057
8. Wanli Lu*, Huajin Chen, Shiyang Liu, and Zhifang Lin, Circular Airy beam with an arbitrary conical angle beyond the paraxial approximation. Physical Review A 105, 043516 (2022).
论文链接:https://doi.org/10.1103/PhysRevA.105.043516
9. Zhe An and Wanli Lu*, Needle of longitudinally polarized light using the circular Airy beam. Optics Letters 49, 642 (2024).
论文链接:https://doi.org/10.1364/OL.511108
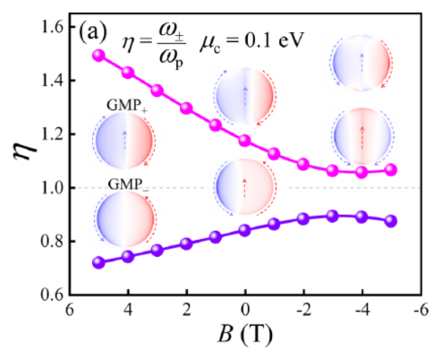
10. Ningning Wang, Linhui Ding, and Weihua Wang*, Chemical potential and magnetic field effects on graphene magnetoplasmons, Phys. Rev. B 108, 085406 (2023).

论文链接:https://doi.org/10.1103/PhysRevB.108.085406
11. Ningning Wang, Linhui Ding, and Weihua Wang*, Chemical potential and magnetic field effects on graphene magnetoplasmons, Phys. Rev. B 105, 235435 (2022).
论文链接:https://doi.org/10.1103/PhysRevB.105.235435
12. Rui Zhang and Weihua Wang*, Perfect optical absorption in a single array of folded graphene ribbons, Opt. Express 30, 473747 (2022).
论文链接:https://doi.org/10.1364/OE.473747
非平衡统计物理
1.Leiming Chen, Ananyo Maitra, Chiu Fan Lee, John Toner. Dynamics of packed swarms: Time-displaced correlators of two-dimensional incompressible flocks. Physical Review E, 2024, 109(1), L012601
论文链接:https://journals.aps.org/pre/abstract/10.1103/PhysRevE.109.L012601
2.Xiao Liu, Hui Xia. Kinetic Roughening in the Molecular Beam Epitaxy Growth in the Presence of Long-Range Temporal Correlations. Journal of Statistical Physics, 2024, 191(11), 140


论文链接:https://link.springer.com/article/10.1007/s10955-024-03357-x
3.Yongxin Wu, Hui Xia. Pinning-depinning transitions in two classes of discrete elastic-string models in (2+1)-dimensions. Journal of Statistical: Theory and Experiment, 2024,2024(5), 053208

论文链接:https://iopscience.iop.org/article/10.1088/1742-5468/ad4af9
4.Leiming Chen, Ananyo Maitra, Chiu Fan Lee, John Toner. Packed Swarms on Dirt: Two-Dimensional Incompressible Flocks with Quenched and Annealed Disorder, Physical Review Letters, 2022, 129(18), 188004, Editor’s suggestion, Featured in Physics.
论文链接:https://journals.aps.org/prl/abstract/10.1103/PhysRevLett.129.188004
5.Leiming Chen, Ananyo Maitra, Chiu Fan Lee, John Toner. Incompressible Polar Active Fluids with Quenched Random Field Disorder in Dimensions
, Physical Review Letters, 2022, 129(19), 198001
论文链接:https://journals.aps.org/prl/abstract/10.1103/PhysRevLett.129.198001
6.Leiming Chen, Ananyo Maitra, Chiu Fan Lee, John Toner. Hydrodynamic theory of two-dimensional incompressible polar active fluids with quenched and annealed disorder, Physical Review E, 2022, 106(4), 044608, Featured in Physics.


论文链接:https://journals.aps.org/pre/abstract/10.1103/PhysRevE.106.044608
7.Zhipeng Xun, Dapeng Hao, Robert M Ziff. Site and bond percolation thresholds on regular lattices with compact extended-range neighborhoods in two and three dimensions, Physical Review E, 2022, 105(2), 024105



论文链接:https://journals.aps.org/pre/abstract/10.1103/PhysRevE.105.024105
8.Pengyu Zhao, Jihong Yan, Zhipeng Xun, Dapeng Hao, Robert M Ziff. Site and bond percolation on four-dimensional simple hypercubic lattices with extended neighborhoods. Journal of Statistical: Theory and Experiment, 2022, 2022(3), 033202


论文链接:https://iopscience.iop.org/article/10.1088/1742-5468/ac52a8
非晶与高熵合金
1. Yezeng He, Jiaojiao Qin, Fangyu Hu, Liang Mao, Baolong Shen, Tejraj M. Aminabhavi, Yasser Vasseghian, Akbar Hojjati-Najafabadi. Chemical dealloying derived nanoporous FeCoNiCuTi high-entropy bifunctional electrocatalysts for highly efficient overall water splitting under alkaline conditions. Chemical Engineering Journal, 2024, 492, 152145. (中科院1区,JCR 1区)
论文链接:https://doi.org/10.1016/j.cej.2024.152145
2. Yezeng He, Xinfeng Liu, Ke He, Hesam Kamyab, Lalitha Gnanasekaran, P.M. Anjana, Tejraj M. Aminabhavi, Yasser Vasseghian, Akbar Hojjati-Najafabadi, High-performance supercapacitors based on NiMn layered double hydroxides/Ni3S2 nanocomposite, Journal of Power Sources 2025, 634, 236465 (JCR 1区)
论文链接:https://doi.org/10.1016/j.jpowsour.2025.236465
3.Xu, C.; Jiang, L.; Zhang, Y.; Zhu, G.; Zhu, X.; Zhao, Y.; Li, X.; Zhang, S.; Li, H.; Xu, L.; Li, C.; He, X.; Gao, J.; Xu, H.*, Lotus leaf-inspired poly(lactic acid) nanofibrous membranes with enhanced humidity resistance for superefficient PM filtration and high-sensitivity passive monitoring. J. Hazard. Mater. 2025, 488, 137516.

论文链接:https://doi.org/10.1016/j.jhazmat.2025.137516
4.Song, X.; Tang, M.; Wang, C.; Li, X.; Zhu, J.*; Shao, J.; Huang, S.; Wang, B.; Li, X.; Li, H.; Xu, H.*, Stereocomplexation-Enhanced Electroactivity of Poly(lactic acid) Nanofibrous Membranes for Long-Term PM Capturing and Remote Respiratory Monitoring. ACS Sustainable Chem. Eng. 2024, 12 (9), 3554-3564. 封面论文,高被引论文

论文链接:https://doi.org/10.1021/acssuschemeng.3c06327
5.Xiangjun Bu, Pengfei He , Ping Zhang*, Chuan Sun , Xiubing Liang , Yue Xing, Ximing Duan, Yujie Wang, Zhenfeng Hu. In-situ formation and ablation mechanism of dense and multilayered ZrB2-ZrSi2-MoSi2 ultra-high temperature ceramic composite coating on Ta-W alloy under plasma blame beyond 2000℃. Corrosion Science 237 (2024) 112316. (中科院1区,JCR 1区)
论文链接:https://doi.org/10.1016/j.corsci.2024.112316
6.Yuantian Li, Ping Zhang*, Jinyong Zhang, Zheng Chen, Baolong Shen. Oxidation behavior of AlCoCrFeNiSix high-entropy alloys at 1100℃. Corrosion Science 190 (2021) 109633. (中科院1区,JCR 1区)
论文链接:https://doi.org/10.1016/j.corsci.2021.109633
7. Rui Zhao, Changjiu Chen, Fan Zhang, Gaochao Zhang, Fanli Kong, Xiong Li, Jinyong Zhang, Zheng Chen, Yezeng He, Ping Zhang, Akihisa Inoue. Glass-forming ability and crystallization kinetics of Ti20Zr20Cu20Ni20Be20 high-entropy metallic glass probed by ultrafast scanning calorimetry. Journal of Alloys and Compounds 1022 (2025) 179829. (JCR 1区)
论文链接:https://doi.org/10.1016/j.jallcom.2025.179829
8. Changjiu Chen, Rui Zhao, Bangjie Yin, Suresh Mavila Chathoth, Akihisa Inoue, Jan Peter Embs, Fan Zhang, Yezeng He, Xiong Li, Zheng Chen, Ping Zhang, Baolong Shen. Dynamic heterogeneity in Pd40Ni40P20 glass-forming metallic melt and crystallization behavior probed by quasi-elastic neutron scattering and ultrafast scanning calorimetry. Journal of Alloys and Compounds 967 (2023) 171691. (JCR 1区)
论文链接:https://doi.org/10.1016/j.jallcom.2023.171691
储能与动力电池
1.Yunfei Xue, Yaxin Chen*, Yazhang Liang, Liluo Shi, Rui Ma, Xia Qiu, Ying Li, Nannan Guo, Quanchao Zhuang, Baojuan Xi, Zhicheng Ju,* and Shenglin Xiong*, Substitution Index-Prediction Rules for Low-Potential Plateau of Hard Carbon Anodes in Sodium-lon Batteries, Advanced Materials, 2025, 2417886.
论文链接:https://doi.org/10.1002/adma.202417886
2.Yaxin Chen, Xi Baojuan, Huang Man, Shi Liluo, Huang Shaozhuan, Guo Nannan, Li Da, Ju Zhicheng*, and Shenglin Xiong*, Defect-Selectivity and “Order in Disorder” Engineering in Carbon for Durable and Fast Potassium Storage, Advanced Materials, 2022, 34, 2108621. (Frontispiece,ESI高被引)
论文链接:https://doi.org/10.1002/adma.202108621
3.Jinlin Yang, Zhicheng Ju*, Yong Jiang, Zheng Xing, Baojuan Xi, Jinkui Feng, Shenglin Xiong*. Enhanced Capacity and Rate Capability of Nitrogen/Oxygen Dual-Doped Hard Carbon in Capacitive Potassium Ion Storage. Advanced Materials 2018, 30(4), 1700104. ( ESI高被引)

论文链接:https://advanced.onlinelibrary.wiley.com/doi/full/10.1002/adma.201700104
4. Jiangmin Jiang*, Ziyu Chen, Yaxin Chen, Quanchao Zhuang, Zhicheng Ju*, Xiaogang Zhang*. Engineering Local Graphitic Domains to Balance Defect Active Site and Electronic Conduction Ability in Coal‐Derived Carbon Anode for Superior Potassium Ions Storage. Advanced Functional Materials, 2024, 34(37), 2402416.
论文链接:https://advanced.onlinelibrary.wiley.com/doi/full/10.1002/adfm.202402416.
5. Peikun Wu, Xiangkai Kong, Yingrui Feng, Wei Ding, Zhigao Sheng, Qiangchun Liu, Guangbin Ji. Phase engineering on amorphous/crystalline γ-Fe2O3 nanosheets for boosting dielectric loss and high-performance microwave absorption. Advanced Functional Materials 2024, 34, 2311983.
论文链接:https://doi.org/10.1002/adfm.202311983
6. Ping Nie, Meiqi Liu, Wenhui Qu, Meiqi Hou, Limin Chang*, Zhuomei Wu, Hairui Wang, Jiangmin Jiang*. Unravelling the Solvation Structure and Interfacial Mechanism of Fluorinated Localized High Concentration Electrolytes in K‐ion Batteries. Advanced Functional Materials, 2023, 33(33), 202302235.

论文链接:https://advanced.onlinelibrary.wiley.com/doi/full/10.1002/adfm.202302235
7.Xia Qiu, Yaxin Chen*, Yujiao Sun, Yirong Wang, Zhantao Liang, Gaoyu Zhou, Yunfei Xue, Liluo Shi,* Jiangmin Jiang, Xiangkai Kong, Quanchao Zhuang, Zhicheng Ju*, Research on low-temperature sodium-ion batteries: Challenges, strategies and prospect, Energy Storage Materials, 2024, 72, 103760.
论文链接:https://doi.org/10.1016/j.ensm.2024.103760
8.Zongfu Sun, Yaxin Chen*, Chao Geng, Ying Li, Weijia Guo, Jiangmin Jiang, Yongli Cui, Yueli Shi, Quanchao Zhuang, Zhicheng Ju*, Oxygen-driven bulk defect engineering in carbon to reduce voltage hysteresis for fast potassium storage at low voltage. Applied Catalysis B: Environmental, 2024, 343, 123473.
论文链接:https://doi.org/10.1016/j.apcatb.2023.123473
9.Zongfu Sun, Yaxin Chen *, Baojuan Xi , Chao Geng , Weijia Guo ,Quanchao Zhuang , Xuguang An , Jie Liu , Zhicheng Ju* ,Shenglin Xiong*, Edge-Oxidation-Induced Densification towards Hybrid Bulk Carbon for Low-Voltage, Reversible and Fast Potassium Storage, Energy Storage Materials, 2022, 10.1016/j.ensm.2022.09.031.
论文链接:https://doi.org/10.1016/j.ensm.2022.09.031
10. Wenjie He, Hai Xu, Zhijie Chen, Jiang Long, Jing Zhang, Jiangmin Jiang*, Hui Dou*, Xiaogang Zhang*. Regulating the Solvation Structure of Li+ Enables Chemical Prelithiation of Silicon-based Anodes Toward High-energy Lithium-ion Batteries. Nano-Micro Letters, 2023, 15(1), 107.
论文链接:https://link.springer.com/article/10.1007/s40820-023-01068-8
11.Xiangkai Kong, Jie Xu, Zhicheng Ju, Changle Chen. Durable Ru Nanocrystal with HfO2 Modifcation for Acidic Overall Water Splitting. Nano-Micro Letters 2024, 16, 185.

论文链接:https://doi.org/10.1007/s40820-024-01384-7
12.Jie Xu, Changle Chen, Xiangkai Kong. Ru-O-Cu center constructed by catalytic growth of Ru for efficient hydrogen evolution. Nano Energy 2023, 111, 108403.
论文链接:https://doi.org/10.1016/j.nanoen.2023.108403
13. Lingbang Qiu, Jiangmin Jiang, Libo Wang, Lang Bai, Fei Zhou, Gaoyu Zhou, Quanchao Zhuang, Yanhua Cui. In Situ Electrochemical Impedance Spectroscopy Monitoring of the High-Temperature Double-Discharge Mechanism of Nb12WO33 Cathode Material for Long-Life Thermal Batteries. Acta Phys. -Chim. Sin. 2025, 41 (X), 100040.
论文链接:https://www.whxb.pku.edu.cn/CN/10.1016/j.actphy.2024.100040
14.LeiZhang,Yao Dai, Chao Li, Yuzhen Dang, Runguo Zheng, Zhiyuan Wang, Yuan Wang, Yanhua Cui, Hamidreza Arandiyan, Zongping Shao, Hongyu Sun, Quanchao Zhuang, Yanguo Liu. Recent advances in electrochemical impedance spectroscopy for solid-state batteries. Energy Storage Materials. 2024, 69, 103378.
论文链接:https://doi.org/10.1016/j.ensm.2024.103378
15. Lei Zhang, Qiankun Meng, Yao Dai, Xiangping Feng, Ming Shen, Quanchao Zhuang, Zhicheng Ju, Runguo Zheng, Zhiyuan Wang, Yanhua Cui, Hongyu Sun, and Yanguo Liu. Ion/Electron Conductive Layer with Double-Layer-Like Structure for Dendrite-Free Solid-State Lithium Metal Batteries, Nano Energy. 2023, 113, 108573.
论文链接:https://doi.org/10.1016/j.nanoen.2023.108573
16. Jianzhen Xiong, Zecheng Yang, Rui Zhou, Anyong Xiao, Xiangkai Kong, Jiangmin Jiang, Liang Dong, Quanchao Zhuang, Zhicheng Ju, Yaxin Chen *, In Situ Defect Engineering in Carbon by Atomic Self-Activation to Boost the Accessible Low-Voltage Insertion for Advanced Potassium-Ion Full-Cells, Small, 2024, 2402037. (inside back cover)
论文链接:https://doi.org/10.1002/smll.202402037
固废利用与高性能陶瓷
1. Lu Zhu, Shipeng Zhang, Fan Ye, Xuanru Ren, Peizhong Feng. Recycling of MoSi2-based industrial solid wastes for the fabrication and high-temperature oxidation behavior of MoSi2–ZrSi2–SiC composite coating. Composites Part B: Engineering 2024, 274, 111281
论文链接:https://doi.org/10.1016/j.compositesb.2024.111281
2. Zhichao Shang, Teng Wang, Aoxia Ren, Yong Yu, Yan Zheng, Yuan Tao, Peizhong Feng, Yang Xiao,Xiaohong Wang. Hollow macroporous CeO2/ß-Bi2O3 heterostructure sphere via one-step spray solution combustion synthesis for efficient photocatalysis. Applied Surface Science, 2023, 619: 156718
论文链接:https://www.sciencedirect.com/science/article/pii/S016943322300394X
3. Nana Zhu, Lu Zhu, Baojing Zhang, Peizhong Feng, Shiheng Li, Philipp V. Kiryukhantsev-Korneev, Evgeny A. Levashov, Xuanru Ren, Xiaohong Wang. Microstructural evolution and 1500 ℃oxidation resistance of Mo(Al,Si)2 fabricated via an innovative two-step SHS-SPS technique. Materials & Design 2024, 247, 113397
论文链接:https://doi.org/10.1016/j.matdes.2024.113397
4.Zixuan Pang, Zhichao Shang, Xuewei Xu, Weijia Guo, Bowen Tang, Farid Akhtar, Baojing Zhang, Jianzhong Wang, Xiaoping Cai, Peizhong Feng. Rapid fabrication and corrosion behavior of 3D-porous Cu-Al-Si compounds via low-energy self-exothermic reaction. Journal of Alloys and Compounds, 2025, 1010: 12

论文链接:https://www.sciencedirect.com/science/article/pii/S0925838824037861
5. Jin Qian, Ziyi Yu, Guanglong Ge, Hairui Bai, Jinfeng Lin, Yongqi Wei, Bo Shen, Zhengqian Fu, Jiwei Zhai, Ziming Cai, Zhenxiang Cheng. Topological vortex domain engineering for high dielectric energy storage performance, Advanced Energy Materials, 2024, 14 (8), 2303409.
论文链接:https://advanced.onlinelibrary.wiley.com/doi/epdf/10.1002/aenm.202303409
6. Ziming Cai, Hang Yang, Chaoqiong Zhu, Shiheng Li, Bingcheng Luo, Aoyu Li, Xinheng Li, Zhaobo Tian, Peizhong Feng. Local heterogeneous polarization enhanced superior low-field energy storage performance in lead-free relaxor ferroelectric ceramics, ACS Sustainable Chemistry & Engineering, 2023, 11 (37), 13729-13735.
论文链接:https://pubs.acs.org/doi/10.1021/acssuschemeng.3c03618
7. Chaoqiong Zhu, Ziming Cai, Peizhong Feng, Weichen Zhang, Kezhen Hui, Xiuhua Cao, Zhenxiao Fu, Xiaohui Wang. Reliability mechanisms of the ultrathin-layered BaTiO3-based BME MLCC. Acta Physico-Chimica Sinica, 2024, 40(1): 2304015.
论文链接:https://doi.org/10.3866/PKU.WHXB202304015
8. Chaoqiong Zhu, Ziming Cai, Xiuhua Cao, Zhenxiao Fu, Longtu Li, Xiaohui Wang. High-dielectric-constant nanograin BaTiO3-based ceramics for ultra-thin layer multilayer ceramic capacitors via grain grading engineering. Advanced Powder Materials, 2022, 1(3):100029.
论文链接:https://doi.org/10.1016/j.apmate.2022.01.002
9. Xue Zhan, Baojing Zhang, Hongrui Guan, Junsheng Cheng, Zhi Liu, Shiheng Li, Peizhong Feng. Migration mechanism and phase transition behavior of elements during coke reduction of copper slag. JOM 2025, 77: 1595-1605.

论文链接:https://link.springer.com/article/10.1007/s11837-024-07085-1?
10. Hongrui Guan, Baojing Zhang, Jinbao Yang, Xue Zhan, Peizhong Feng. Effect of iron content on high strength and environmentally friendly water-permeable bricks prepared from W-Mo tailing and iron slags. JOM 2024, 76: 1447-1455.
论文链接:https://link.springer.com/article/10.1007/s11837-023-06284-6
11. Shiheng Li, Jiahao Pan, Bingcheng Luo, Chao Wang, Ziming Cai, Chaoqiong Zhu, Baojing Zhang, Xueqin Kang, Dapeng Zhou, Jinlong Liu, Cheng Xu, Zhenda Lu, Peizhong Feng. Nonpolar sub-10 nm TiO2 Nanocrystal for High Energy Density Polypropylene Nanocomposites. Nano Energy 2024, 121: 109237.
论文链接:https://doi.org/10.1016/j.nanoen.2023.109237
12. Zun-Peng Feng, Ya-Nan Hao, Jing Qin, Shao-Long Zhong, Ke Bi, Yu Zhao, Li-Juan Yin, Jia-Yao Pei, Zhi-Min Dang. Ultrasmall barium titanate nanoparticles modulated stretchable dielectric elastomer sensors with large deformability and high sensitivity. InfoMat. 2023; 5(8):e12413.
论文链接:https://doi.org/10.1002/inf2.12413
13. P J Tang, C L Hu, S Y Pang, et al. Interfacial modification and cyclic ablation behaviors of a SiC/ZrB2-SiC/SiC triple-layer coating for C/SiC composites at above 2000 °C[J]. Corrosion Science, 2020, 169: 108604.
论文链接:https://doi.org/10.1016/j.corsci.2020.108604
14. P J Tang, C L Hu, S Y Pang, et al. Self-densification behavior, interfacial bonding and cyclic ablation resistance of HfSi2-ZrSi2 modified SiC/ZrB2-SiC/SiC coating for Cf/SiC composite[J]. Corrosion Science, 2023, 219: 111223.
论文链接:https://doi.org/10.1016/j.corsci.2023.111223
固态电池及液态电池
1. Yichen Yin, Jingtian Yang, Jinda Luo, Gongxun Lu, Zhongyuan Huang, Jianping Wang, Pai Li, Feng Li, Yechao Wu, Te Tian, Yufeng Meng, Hongsheng Mo, Yonghui Song, Junnan Yang, Lizhe Feng, Tao Ma, Wen Wen, Ke Gong, Linjun Wang, Huanxin Ju, Yinguo Xiao, Zhenyu Li, Xinyong Tao, Hongbin Yao. A LaCl3-based lithium superionic conductor compatible with lithium metal. Nature 2023, 616, 77–83
论文链接:https://doi.org/10.1038/s41586-023-05899-8
2. Jinda Luo, Yixi Zhang, Xiaobin Cheng, Feng Li, Haoyuan Tan, Meiyu Zhou, Zi Wei Wang, Xudong Hao, Yichen Yin, Bin Jiang, Hongbin Yao. Halide superionic conductors with non‐close‐packed anion frameworks. Angewandte Chemie International Edition 2024, 63(17), e202400424
论文链接: https://doi.org/10.1002/anie.202400424
3. Yichen Yin, Jinda Luo, Hongbin Yao. UCl3-Type Solid Electrolytes: Fast Ionic Conduction and Enhanced Electrode Compatibility. Accounts of Materials Research 2025, 6, 1-5
论文链接:https://doi.org/10.1021/accountsmr.4c00073
4. Lifeng Wang, Naiqing Ren, Wei Jiang, Hai Yang, Shufen Ye, Yang Jiang, Ghulam Ali, Li Song, Xiaojun Wu, Xianhong Rui, Yu Yao, Yan Yu. Tailoring Na+ Solvation Environment and Electrode-Electrolyte Interphases with Sn(OTf)2 Additive in Non-flammable Phosphate Electrolytes towards Safe and Efficient Na-S Batteries. Angewandte Chemie International Edition 2024, 63(12), e202320060
论文链接: https://doi.org/10.1002/anie.202320060
5. Lifeng Wang, Naiqing Ren, Yu Yao, Hai Yang, Wei Jiang, Zixu He, Yang Jiang, Shuhong Jiao, Li Song, Xiaojun Wu, Zhongshuai Wu, Yan Yu. Designing Solid Electrolyte Interfaces towards Homogeneous Na Deposition: Theoretical Guidelines for Electrolyte Additives and Superior High-Rate Cycling Stability. Angewandte Chemie International Edition 2023, 62(6), e202214372
论文链接: https://doi.org/10.1002/anie.202214372
6. Naiqing Ren, Lifeng Wang, Xiaoying Li, Kuo Cao, Zixu He, Yu Shao, Jingchao Xiao, Yiran Zhu, Bicai Pan, Shuhong Jiao, Chunhua Chen. Design Principles of Mediation Layer for Current Collectors Toward High‐Performance Anode‐Free Potassium‐Metal Batteries: A Case Study of Cu6Sn5 on Copper. Advanced Functional Materials 2024, 34(23), 2313538
论文链接: https://doi.org/10.1002/adfm.202313538
矿山纳米能源与器件
1. Jie Ma, Jiading, Zhu, Shixiang Zhou, Cheng Zhao, Cong Liu, Zhe Xin, Jiantao Cai, Jian He, Peizhong Feng, Litong Guo, Xueyu Tao. Multifunctional starch-based conductive hydrogels for smart sensors and flexible supercapacitors. International Journal of Biological Macromolecules. 2025, 302: 140430.
论文链接:https://www.sciencedirect.com/science/article/pii/S0141813025009791?via%3Dihub
2. Cheng Zhao, Shixiang Zhou, Jie Ma, Cong Liu, Jiading Zhu, Shifang Ye, Zhe Xin, Jiantao Cai, Peizhong Feng, Xueyu Tao. Highly conductive PANI/ATMP/AgNO3 composite hydrogel electrodes for all-hydrogel-state supercapacitors. Journal of Materials Chemistry A 2025, 13(7), 5238-5251

论文链接:https://pubs.rsc.org/en/content/articlelanding/2025/ta/d4ta07437h
3. Liyang Dou, Shixiang Zhou, Jie Ma, Cheng Zhao, Peixin Cui, Shifang Ye, Peizhong Feng, Xiuquan Gu, Sheng Huang, Xueyu Tao. Organic Redox Additive Incorporated PANI Hydrogel Electrodes for Flexible High-Energy-Density Supercapacitors. Journal of Materials Chemistry C 2024, 12(2), 521-532
论文链接:https://pubs.rsc.org/en/content/articlelanding/2024/tc/d3tc03119e
4. Xueyu Tao, Shifang Ye, Kehu Zhu, Liyang Dou, Peixin Cui, Jie Ma, Cheng Zhao, Xianyong Wei, Litong Guo, Akbar Hojjati-Najafabadi, Peizhong Feng. ATMP doped conductive PANI/CNTs composite hydrogelelectrodes towards high Energy Density Flexible Supercapacitors. ACS Applied Energy Materials 2023, 6(15), 8177-8188

论文链接:https://pubs.acs.org/doi/10.1021/acsaem.3c01325?ref=PDF
5. Xueyu Tao, Kehu Zhu, Haoming Chen, Shifang Ye, Peixin Cui, Liyang Dou, Jie Ma, Cheng Zhao , Jian He, Peizhong Feng. Recyclable, anti-freezing and anti-drying silk fibroin-Based hydrogels for ultrasensitive strain sensors and all-hydrogel-state supercapacitors. Materials Today Chemistry 2023, 32, 101624
论文链接:https://www.sciencedirect.com/science/article/pii/S2468519423002513?via%3Dihub
6. Jian Yang, Xiaolong Zhu, Haotian Wang, Yixiao Zhang, Pengfei Guan, Shiguang Yan, Ming Zheng. Achieving outstanding energy storage behaviors via combinatorial optimization design in BNT-based relaxor ferroelectric ceramics under medium-low electric fields. Journal of Materials Chemistry C 2024, 12(18), 6479-6486.
论文链接:https://doi.org/10.1039/D4TC00818A
7. Jian Yang, Pengfei Guan, Yixiao Zhang, Xiaolong Zhu, Haotian Wang, Chang Yang, Ming Zheng. High energy storage density achieved in BNT-based ferroelectric translucent ceramics under low electric fields. Journal of the American Ceramic Society 2024, 107(9) 6294-6306.
论文链接:https://doi.org/10.1111/jace.19868
8. Ming Zheng, Jian Yang, Haotian Wang, Pengfei Guan, Xiaolong Zhu, Yixiao Zhang, Chang Yang. Static and dynamic strain-driven photoluminescence tuning in rare-earth doped perovskite oxide thin films. Journal of Alloys and Compounds 2024, 991 174534.
论文链接:https://doi.org/10.1016/j.jallcom.2024.174534
9. Zhen Wu, Guoliang Liu, Jie Liang, Tianqi Wei, Ning Xu. Precursor‐Induced Growth of Highly‐Oriented Nanowire Arrays. Small Methods 2025, 2401755.
论文链接:https://onlinelibrary.wiley.com/doi/full/10.1002/smtd.202401755
10. Zhen Wu, Xiaohan Wang, Heliang Fan, Bin Zhao, Xueyu Tao, Guoliang Liu, Litong Guo. Enhancing thermoelectric efficiency of Ca9Zn4+xSb9 by interstitial atom modulations through phonon-electron decoupling. Journal of Materials Science: Materials in Electronics 2025, 36(4) 360.
论文链接:https://link.springer.com/article/10.1007/s10854-025-14270-8
11. Zhen Wu, Yuxi Wang, Yunjie Dou, Lin Zhou, Jia Zhu. Property modulations of two-dimensional materials under compression. Nano Research Energy, 2023, 2(4) e9120080.
论文链接:https://www.sciopen.com/article/10.26599/NRE.2023.9120080
12. XM Liu, Weixin Chen, Xueyu Tao, Heliang Fan, Zhangsheng Liu, Yihan Ling, Litong Guo. Preparation and oxidation behaviour of MoSi2-SiC-Si-ZrB2 composite coatings on carbon surface via laser cladding. Advances in Applied Ceramics,2022.121(5-8):202-210.
.
论文链接:https://doi.org/10.1080/17436753.2022.2155372
矿物纳米材料
1. Li Sun, Jinan Niu*, Hongpeng Liu, Fangfang Liu, Arianit A. Reka, Jakub Matusik, Pengzhong Feng. Exploring layered double hydroxide efficiency in removal of fluoride ions from water: material insights, synthesis and modification strategies and adsorption mechanisms. RSC Sustainability. 2025, 3, 715-737(背封面文章)
论文链接:https://doi.org/10.1039/D4SU00057A
封面链接:https://doi.org/10.1039/D5SU90012C
2. Fangfang Liu, Pengfei Zhang, Mengxing Zhang, Jinan Niu, Kai Chen, Peizhong Feng. High-Safety Clay Mineral Separator Based on Multiple Hydrogen Bonds for Lithium Ion Batteries. Journal of Energy Storage. 2025, 114, 115683.
论文链接:https://www.sciencedirect.com/science/article/pii/S2352152X25003962
3. Fangfang Liu, Jinan Niu, Xiuyun Chuan, Yupeng Zhao. Nitrogen and Phosphorus Co-Doped Porous Carbon: Dopant, Synthesis, Performance Enhancement Mechanism and Versatile Applications. Journal of Power Sources. 2024, 601, 234308.
论文链接:https://www.sciencedirect.com/science/article/pii/S0378775324002593
4. Fangfang Liu, Jinan Niu, Xiuyun Chuan, Yupeng Zhao. Nitrogen and Sulfur Co-Doping Carbon in Different Dimensions as Electrode for Supercapacitor Applications. Journal of Alloys and Compounds. 2023, 947, 169654.
论文链接:https://www.sciencedirect.com/science/article/pii/S092583882300957X
5. Kang Yong, Liji Su, Hongtao Liu, Cheng Xu, Hanzhuo Zhang*. Co3O4/SnO2 heterojunctions formed as porous nanocubes with remarkable sensitivity and selectivity to acetone gas. Materials Letters, 2025, 384: 138118.
论文链接:https://doi.org/10.1016/j.matlet.2025.138118.
6. Jingzheng Xu, Hanzhuo Zhang*, Zhimin Fu, Yihan Ling. Hydrothermal synthesis of hierarchical CuBi2O4 microspheres with improved gas sensitivity. Ceramics International, 2022, l48: 31519-31527.
论文链接:https://doi.org/10.1016/j.ceramint.2022.07.072.
7. Chen Li, Shitai Shen, Jinan Niu,* Arianit A. Reka, Peizhong Feng, Hermenegildo Garcia. Mesoporous single-crystal-based TiO2 microspheres decorated by carbon nitride for obviously improved photocatalytic performance and recyclability. Inorganic Chemistry Communications, 202 3, 150, 110524.
论文链接:https://doi.org/10.1016/j.inoche.2023.110524
8. Chen Li, Li Sun, Jinan Niu*, Arianit A. Reka, Peizhong Feng, Hermenegildo Garcia. Core-shell Bi-containing spheres and TiO2 nanoparticles co-loaded on kaolinite as an efficient photocatalyst for methyl orange degradation. Catalysis Communications, 2023, 175, 106609.
论文链接:https://doi.org/10.1016/j.catcom.2023.106609
煤基燃料电池及高效制氢
1. Han Xu, Ling Yihan, Yang Yang, Wu Yujie, Gao Yuan, Wei Bo, Lv Zhe. Utilizing High Entropy Effects for Developing Chromium-Tolerance Cobalt-Free Cathode for Solid Oxide Fuel Cells. Advanced Functional Materials, 2023, 33(43): 2304728.
论文链接:https://advanced.onlinelibrary.wiley.com/doi/10.1002/adfm.202304728
2. Han Xu, Shao Qi, Li Kaixin, Gao Yuan, Wei Bo, Cai Zimin, Zheng Kun, Feng Peizhong, Lv Zhe, Ling Yihan. Constructing chromium-tolerance La0.6Sr0.4Co0.2Fe0.8O3-δ cathode for solid oxide fuel cells using entropy-assisted surface engineering. Chemical Engineering Journal, 2025, 503: 158480.
论文链接:https://www.sciencedirect.com/science/article/pii/S1385894724099716
3. Jin Fangjun, Liu Xiaowei, Niu Bingbing, Tian Yunfeng, Gao Yuan, Liu Fangsheng, Wang Xinxin, Ling Yihan. A new highly active and CO2-stable heterostructure cathode material for solid oxide fuel cells developed from bismuth ion-modified cation-deficient Nd0.9BaCo2O5+δ. Applied Catalysis B: Environment and Energy, 2024, 358: 124410.
论文链接:https://www.sciencedirect.com/science/article/pii/S0926337324007240
4. Yang Yang, Li Tian, Feng Peizhong, Wang Xinxin, Wang Shaorong, Ling Yihan, Shao Zongping. Highly efficient conversion of oxygen-bearing low concentration coal-bed methane into power via solid oxide fuel cell integrated with an activated catalyst-modified anode microchannel. Applied Energy, 2022, 328: 120134.
论文链接:https://www.sciencedirect.com/science/article/pii/S0306261922013915
5. Yang Yang, Liu Fangsheng, Han Xu, Wang Xinxin, Dong Dehua, Chen Yan, Feng Peizhong, Khan Majid, Wang Shaorong, Ling Yihan. Highly efficient and stable fuel-catalyzed dendritic microchannels for dilute ethanol fueled solid oxide fuel cells Applied Energy, 2022, 307: 118222.
论文链接: https://www.sciencedirect.com/science/article/pii/S0306261921014872
摩擦学与可靠性工程
1. Zan Chen, Xubing Wei, Shiqi Lu, Jiaqing Ding, Naizhou Du, Cunao Feng, Kai Chen, Peng Guo, Kwang-Ryeol Lee, Guangan Zhang, Xiaowei Li*. Surface in-situ graphitization and properties of amorphous carbon film induced by laser irradiation. Friction, 2025, 13, 9440977.
论文链接:https://www.sciopen.com/article/10.26599/FRICT.2025.9440977
2. Xubing Wei, Naizhou Du, Peng Guo, Rende Chen, Jie Wu, Lei Wang, Kwang-Ryeol Lee, Xiaowei Li*, Haibin He*. Friction dependence on processing priority for graphitization/passivation coupled amorphous carbon films. Carbon, 2024, 230, 119631.
论文链接:https://www.sciencedirect.com/science/article/pii/S0008622324008509
3. Xubing Wei*, Haiyan Feng, Zhengyu Liu, Zan Chen, Pingmei Yin, Shiqi Lu, Jiaqing Ding, Naizhou Du, Xiaowei Li*, Guangan Zhang*. Insight into the corrosion behaviors and mechanism of the self-healing Si/N-DLC films in oilfield environment. Corrosion Science, 2024, 231, 111989.
论文链接:https://www.sciencedirect.com/science/article/pii/S0010938X24001732
4. Naizhou Du, Xiaowei Li*, Xubing Wei, Zan Chen, Shiqi Lu, Jiaqing Ding, Cunao Feng, Kai Chen, Jianghao Qiao, Dekun Zhang, Kwang-Ryeol Lee. Atomistic Insights into Interfacial Optimization Mechanism for Achieving Ultralow-Friction Amorphous Carbon Films Under Solid–Liquid Composite Conditions. ACS Applied Materials & Interfaces, 2023, 15(45), 53122-53135.
论文链接:https://pubs.acs.org/doi/10.1021/acsami.3c12838
5. Longpeng Zhou, Aowei Liu, Lizao Zhou, Yaru Li, Jun Kang, Jian Tang, Yanan Han, Hongtao Liu. Facilely Fabricated Self-lubricated Photothermal Coating with Long-term Durability and External-replenishing Property for Anti-icing/deicing[J]. ACS Applied Materials & Interfaces,2022, 14 (6) , 8537-8548.
论文链接:https: //pubs.acs.org/doi/10.1021/acsami.1c21220
6. Longpeng Zhou, Hongtao Liu, Aowei Liu, Lizao Zhou, Chunchun Du, Yaru Li. Easily fabricated icephobic surface with external and self-replenishing properties[J]. Applied Surface Science, 2022, 579, 152069.
论文链接:https://www.sciencedirect.com/science/article/pii/S0169433221031044
7. Yu Guo, Cunao Feng, Qiuxue Kuang, Yang Cao, XinYue Zhang, Kai Chen, Xiaowei Li, Dekun Zhang. Dynamic observation of the influence of different acceleration forms on the friction lining during the friction transmission process in the simulated coal mine environment. Friction, 2025, 13, 9441002.
论文链接: https://www.sciopen.com/article/10.26599/FRICT.2025.9441002
8. Cunao Feng, Yu Guo, Zhenyang Yu, Kai Chen, Dagang Wang, Xiaowei Li, Yong Luo, Qingliang Wang, Dekun Zhang. Tribological properties of PEEK composites reinforced by MoS2 modified carbon fiber and nano SiO2. Tribology International, 2023, 181, 108315.
论文链接: https://www.sciencedirect.com/science/article/pii/S0301679X23001020
9. Shu-hua Teng, Peng-Hui Zhu, Peng Wang. Surfactant-free Fabrication of Curcumin-loaded Emulsion Coatings on Titanium for Biomedical Applications. Colloids and Surfaces A: Physicochemical and Engineering Aspects, 2024, 685, 133262.

论文链接:https://doi.org/10.1016/j.colsurfa.2024.133262
10. Qin Chen, Xinyue Zhang, Kai Chen, Xiaofang Wu, Tian Zong, Cunao Feng, Dekun Zhang. Anisotropic hydrogels with enhanced mechanical and tribological performance by magnetically oriented nanohybrids. Chemical Engineering Journal, 2022, 430, 133036.
论文链接:https://www.sciencedirect.com/science/article/abs/pii/S138589472104612X
11. Qin Chen, Kai Chen, Meng Wu, Xinyue Zhang, Haiyan Feng, Cunao Feng, Dagang Wang, Xiaowei Li, Dekun Zhang, Hongbo Zeng. Tough and fatigue-resistant anisotropic hydrogels via fiber reinforcement and magnetic field induction. Science China Materials, 2023, 66(12): 4841-4852.
论文链接:https://link.springer.com/article/10.1007/s40843-023-2639-0
12. Haiyan Feng, Song Wang, Kai Chen, Xinyue Zhang, Cunao Feng, Xiaowei Li, Weibo Yang, Dekun Zhang, Shirong Ge. Strong Bonding of Robust Lubricating Hydrogels to Porous Substrates for Joint Replacement. ACS Applied Materials & Interfaces, 2024, 16(46), 64074–64086.
论文链接:https://pubs.acs.org/doi/full/10.1021/acsami.4c16046
13. Haiyan Feng, Song Wang, Kai Chen, Xinyue Zhang, Cunao Feng, Xiaowei Li, Dekun Zhang. Dual-network nanocomposite robust hydrogel with excellent durability properties as cartilage replacement. Tribology International, 2024, 194, 109518.
论文链接:https://doi.org/10.1016/j.triboint.2024.109518
14. Xinyue Zhang, Tao Zhang, Kai Chen, Handong Xu, Cunao Feng, Dekun Zhang. Wear mechanism and debris analysis of PEEK as an alternative to CoCrMo in the femoral component of total knee replacement. Friction, 2023, 11(10): 1845-1861.
论文链接:https://link.springer.com/article/10.1007/s40544-022-0700-z
15. Kai Chen, Yujie Zhao, Yueru Zhang, Dong Yan, Yu Zhang, Xiangyang Li, Cunao Feng, Xiaowei Li, Dekun Zhang. Fretting stimulation enhances bone growth at the interface between hydroxyapatite coating and bone. Colloids and surface B-biointerface, 2022, 217: 112669.
论文链接https://www.sciencedirect.com/science/article/pii/S0927776522003526
16. Xinyue Zhang, Qin Chen, Kai Chen, Haiyan Feng, Cunao Feng , Xiaowei Li, Dekun Zhang, Shirong Ge. Tough, Slippery, and Low-Permeability Multilayer Hydrogels Modified by Anisotropic Fiber Membrane for Soft Tissue Replacement. ACS Applied Materials & Interfaces, 2024, 16(36): 47314-47324.
论文链接:https://pubs.acs.org/doi/10.1021/acsami.4c11080
17. Xinyue Zhang, Qin Chen, Kai Chen, Cunao Feng, Haiyan Feng, Xiaowei Li, Dekun Zhang. A robust low-friction triple network hydrogel based on multiple synergistic enhancement mechanisms. Friction, 2024, 12(12): 2726-2740.
论文链接:https://link.springer.com/article/10.1007/s40544-024-0907-2
新金属材料与制造
1.Lin Wang, Yiming Ma, Jie Xu, Ji Chen. Improving spreadability of molten metal in MIG welding-brazing of aluminum to steel by external magnetic field. Journal of Manufacturing Processes, 2022, 81: 35-47.
论文链接:https://www.sciencedirect.com/science/article/pii/S152661252200439X
2. Yuwen Wang, Haocheng Wu, Jie Xu, Yu Fan, Ji Chen, Maoai Chen, Xue Li, Lei Xu, Changyun Li, Lin Wang. Understanding the thermal and fluid flow behaviors in variable-polarity CMT-wire arc directed energy deposition of 7075-alloy component via numerical simulation. International Journal of Thermal Sciences, 2025, 210: 109658.
论文链接:https://www.sciencedirect.com/science/article/pii/S1290072924007804

论文链接:https://www.sciencedirect.com/science/article/pii/S2238785424006550
4. Chunlong Cheng, Zheng Chen*, Yu Fan, Ruidong Yao, Qichi Le. Corrosion Behavior and Protective Performance of Robustness Mineralized Layer Formed on AZ80-0.38Nd (wt%) Alloy. Corrosion Science 2023, 214, 111021.
论文链接:https://doi.org/10.1016/j.corsci.2023.111021.
5.Chunlong Cheng, Zheng Chen*, Kun Yue, Changjiu Chen, Lichen Liu, Qichi Le. Revealing the Effect of Gd Alloying on Oxidation Resistance and Oxide Film Protection Performance of AZ80 Alloy. Materials Chemistry and Physics 2024, 315, 129082.
论文链接:https://doi.org/10.1016/j.matchemphys.2024.129082.
6. Yeqing Wang, Rujiang Wang, Jing Lin, Liang Wang , Zheng Chen. Mechanical and high-temperature wear resistance properties of WC-reinforced AlCoCrFeNiTi0.5 high entropy alloy matrix composite. Ceramics International 2024, 50, 2162–2176.
论文链接:https://www.sciencedirect.com/science/article/pii/S0272884223034028
7. Yeqing Wang, Caixia Shan, Liang Wang, Zheng Chen. A new complex-regular eutectic in the Fe7(CoNiMn)93-xBx high entropy alloys. Journal of Materials Research and Technology 30 (2024) 4521–4526.
论文链接:https://www.sciencedirect.com/science/article/pii/S2238785424009475
8. Ke Fu, Yuyu Liu, Yeqing Wang , Zhe Xu , Wei Jiang, Zheng Chen, Siqi Liu , Li Sun, Zhiliang Zhang, Jianying He. Grain reffnement of Ti6Al4V by incorporating in-situ TiB nanowhiskers in laser melting deposition. Journal of Materials Research and Technology 2023, 27: 2893–2901.

论文链接:https://www.sciencedirect.com/science/article/pii/S2238785423025772
9. Kun Yue, Lin Wang , Zhe Xu, Chunlong Cheng, Yeqing Wang, Yu Fan, Jie Xu , Zhijun Wang, Zheng Chen. Effect of WC content on the microstructure and wear resistance of laser cladding AlCoCrFeNiTi0.5 high-entropy alloy coatings.

论文链接:https://www.sciencedirect.com/science/article/pii/S0272884224034163
新能源与安全监测
1. Jian Song, Yifan Ren, Shijie Gong, Liang Zhao, Wufan Xuan, Lei Zhu, Yulong Zhao, Yinghuai Qiang, Lili Gao,* Sheng Huang,* Performance Enhancement of Crystal Silicon Solar Cell by a CsPbBr3-Cs4PbBr6 Perovskite Quantum Dot@ZnO/Ethylene Vinyl Acetate Copolymer Downshifting Composite Film, Solar RRL, 2022, 6, 2200336.
论文链接: https://doi.org/10.1002/solr.202200336
2. L. Zhao, X. Sun, Q. Yao, S. Huang, L. Zhu, J. Song,* Y. Zhao, Y. Qiang, Field-effect control in hole transport layer composed of Li:NiO/NiO for high-efficient inverted planar perovskite solar cell, Advanced Materials Interfaces, 2022, 9, 2101562.
论文链接: https://doi.org/10.1002/admi.202101562
3. Lu Chen, Shasha Gao, Yongchao Cheng, Peng Wang, Sheng Huang. Room-Temperature Self-calibrating Sensor Based on CsPbBr3/SnO2 for Detecting Low-concentration Sulfur Dioxide. Journal of Alloys and Compounds 2024, 1009: 176930.
论文链接:https://doi.org/10.1016/j.jallcom.2024.176930
4. Xiaowei Shi, Chao Dai, Xin Wang, Jiayue Hu, Junying Zhang, Lingxia Zheng, Liang Mao, Huajun Zheng, Mingshan Zhu Protruding Pt single-sites on hexagonal ZnIn2S4 toccelerate photocatalytic hydrogen evolution. Nature Communications, 2022, 13(1): 1287.
论文链接:https://www.nature.com/articles/s41467-022-28995-1
5. Liang Mao, Qinran Li, Qingao Zhou, Wenqiang Dang, Yulong Zhao, Yuzhen Sun, Xiaoyan Cai Enhanced carrier separationnd decreased reactionarrier in cobalt-doped CdIn2S4 nanosheets for photocatalytic hydrogen evolution. Journal of Colloidnd Interface Science, 2025, 685: 1122-1130
论文链接:https://www.sciencedirect.com/science/article/abs/pii/S0021979725002747
6. Junyan Wang, Chen Yang, Liang Mao, Xiaoyan Cai,* Zikang Geng, Haoyu Zhang,
Junying Zhang, Xin Tan, Jinhua Ye, and Tao Yu*. Regulating the Metallic Cu–Ga Bond by S Vacancy for Improved Photocatalytic CO2 Reduction to C2H4, Adv. Funct. Mater. 2023, 2213901.
论文链接:https://doi.org/10.1002/adfm.202213901
7. Zhongtian Zeng, Liang Mao*, Rui Zhang, Yanan Liu, Yihan Ling, Xiaoyan Cai*, Junying Zhang. A triple-benefit strategy of microstructure, electronic property and active site modulation on ZnIn2S4 photocatalyst by Sn atom doping. Chemical Engineering Journal 2024, 496, 153769.
论文链接:https://doi.org/10.1016/j.cej.2024.153769
8. Wang, Weilu; Xing, Zheng; Ren, Haipeng; Wang, Qinglin; Gao, Xinran; Nie, Chuanhao; Ju, Zhicheng, MnFe Prussian Blue Analogue Open Cages for Sodium-Ion Batteries: Simultaneous Evolution of Structure, Morphology, and Energy Storage Properties. Small 2024, 20 (38), e2402072.
论文链接:https://doi.org/10.1002/smll.202402072
9. Zheng, Guojun; Xing, Zheng; Wang, Jie; Lu, Mingtao; Hong, Haiping; Ju, Zhicheng, Oxygen-containing groups assist in enhancing Li+/K+ storage: Balancing adsorption and intercalation mechanisms. Carbon 2025, 231, 119731.
论文链接:https://doi.org/10.1016/j.carbon.2024.119731
10. Zijiang Yang, Yujiao Sun, Shasha Gao, Qiuchen Yu, Yizhe Zhao, Yumeng Huo, Zixin Wan, Sheng Huang, Yanyan Wang, Xiuquan Gu. General Model for Predicting Response of Gas-Sensitive Materials to Target Gas Based on Machine Learning, ACS Sensors, 2024, 9(5): 2509-2519
论文链接:https://pubs.acs.org/doi/10.1021/acssensors.4c00186
11. Wufan Xuan, Lina Zheng, Lei Cao, Shujie Miao, Dunan Hu, Lei Zhu, Yulong Zhao, Yinghuai Qiang, Xiuquan Gu, Sheng Huang. Machine Learning-Assisted Sensor Based on CsPbBr3@ZnO Nanocrystals for Identifying Methanol in Mixed Environments, ACS Sensors, 2023, 8(3): 1252-1260
论文链接:https://pubs.acs.org/doi/10.1021/acssensors.2c02656
1. Zehua Tao, Icaro R. Lavor,* Haiming Dong,* Andrey Chaves, David Neilson, and Milorad V. Miloševic*. Chiral Propagation of Plasmon Polaritons due to Competing Anisotropies in a Twisted Photonic Heterostructure. Nano Lett. 2024, 24, 15745−15750

论文链接:https://pubs.acs.org/doi/10.1021/acs.nanolett.4c04502
2. Z. H. Tao, H. M. Dong,* Milorad V. Miloševic*, F. M. Peeters, and B. Van Duppen. Tailoring Dirac Plasmons via Anisotropic Dielectric Environment by Design. Phys. Rev. Applied 2021, 16, 054030

论文链接:https://journals.aps.org/prapplied/abstract/10.1103/PhysRevApplied.16.054030
3.Yiwen Zhang, Chenxi Li, Haoshen Ye, G. P. Zhang, Junting Zhang, and Jianli Wang*, Intrinsic room-temperature multiferroicity in a two-dimensional TiCr2O4 semiconductor with out-of-plane magnetic anisotropy and vertical piezoelectricity, Phys. Rev. B 2025, 111 (3), 035436

论文链接:https://doi.org/10.1103/PhysRevB.111.035436
4.Dingwen Zhang, Haoshen Ye, Meng Su, and Jianli Wang*, Strain-tuned room-temperature spin valve effect in the HfCr2N4 monolayer, Phys. Rev. B 2024,110 (15), 155403

论文链接:https://doi.org/10.1103/PhysRevB.110.155403
5. Ran Zhou, Han-Pu Liang, Hongliang Shi* and Yifeng Duan*, Electron-phonon coupling in half-Heusler compounds: A comparative study of TiCoSb and TiNiSn, Phys. Rev. B 2025, 111, 115201

论文链接: https://journals.aps.org/prb/abstract/10.1103/PhysRevB.111.115201
6. Jinzi Yu, Ran Zhou, Fang Lv, Hanpu Liang, Hongliang Shi, and Yifeng Duan*, Temperature-renormalized phonon and electron transport in thermoelectric Mg3Sb2: Dominant role of anharmonic phonon modes, Phys. Rev. B 2024, 109, 014311

论文链接: https://journals.aps.org/prb/abstract/10.1103/PhysRevB.109.014311
7. Fang Lv, Hanpu Liang, and Yifeng Duan*, Funnel-shaped electronic structure and enhanced thermoelectric performance in ultralight Cx(BN)1-x biphenylene networks, Phys. Rev. B 2023, 107, 045422

论文链接: https://journals.aps.org/prb/abstract/10.1103/PhysRevB.107.045422
8. Ran Zhou, Hanpu Liang, and Yifeng Duan*, Intrinsic anharmonicity tuned by in-plane rotational phonon mode in two-dimensional group-IB chalcogenides, Appl. Phys. Lett. 2023, 122, 082203

论文链接: https://doi.org/10.1063/5.0131920
9. Fang Lv, Hanpu Liang, and Yifeng Duan*, Superior Limit of Light-Absorption Improvement in Two-Dimensional Haeckelite GaN-ZnO by Nonadiabatic Molecular Dynamics Simulation, J. Phys. Chem. Lett. 2023, 14, 663−669

论文链接: https://doi.org/10.1021/acs.jpclett.2c03825
10. Junting Zhang*, Ying Zhou, Fan Wang, Xiaofan Shen, Jianli Wang, and Xiaomei Lu*, Coexistence and coupling of spin-induced ferroelectricity and ferromagnetism in perovskites, Phys. Rev. Lett., 2022, 129(11), 117603.

论文链接:https://doi.org/10.1103/PhysRevLett.129.117603
11. Junting Zhang*, Xiaofan Shen, Yancheng Wang, Chao, Ji, Ying Zhou, Jianli Wang, Fengzhen Huang, and Xiaomei Lu*, Design of two-dimensional multiferroics with direct polarization-magnetization coupling, Phys. Rev. Lett., 2020, 125(1), 017601.

论文链接:https://doi.org/10.1103/PhysRevLett.125.017601
12. Xiaofan Shen, Fan Wang, Xiaomei Lu* and Junting Zhang*, Two-dimensional multiferroics with intrinsic magnetoelectric coupling in A site ordered perovskite monolayers, Nano Lett., 2023, 23(2), 735-741.

论文链接: https://pubs.acs.org/doi/10.1021/acs.nanolett.2c03457
13. Fan Wang, Ying Zhou, Xiaofan Shen, Shuai Dong, Junting Zhang*, Magnetoelectric coupling and cross control in two-dimensional ferromagnets, Phys. Rev. Appl., 2023, 20(06), 064011.

论文链接: https://doi.org/10.1103/PhysRevApplied.20.064011
14. Dinghui Wang, Huiqiang Wang, Lulu Liu, Junting Zhang* and Haijun Zhang, Electric-Field-Induced Switchable Two-Dimensional Altermagnets, Nano Lett., 2025, 25(1), 498-503.

论文链接: https://pubs.acs.org/doi/10.1021/acs.nanolett.4c05384
高效储能材料与技术
[1]. X.L. Xue, T.L. Huang, Y. Zhang, J.Q. Qi, F.X. Wei, Y.W. Sui, Z. Jin, Cationic-Anionic Redox Chemistry in Multivalent Metal-Ion Batteries: Recent Advances, Reaction Mechanism, Advanced Characterization Techniques, and Prospects, Adv Funct Mater, 33 (2023), 2306377.
[2]. B. Xiao, G. Wu, T.D. Wang, Z.G. Wei, Y.W. Sui, B.L. Shen, J.Q. Qi, F.X. Wei, J.C. Zheng, High-entropy oxides as advanced anode materials for long-life lithium-ion Batteries, Nano Energy, 95 (2022), 106962.
[3]. Y.Z. Li, G.D. Wang, F. Xu, Q. Yin, D.Y. Zhao, J.Q. Qi, Y.W. Sui, L. Hou, Y.Y. Wang, A robust indium-organic framework with open tubular channels for efficient separation of acetylene, Nano Res, 17 (2024) 3139-3146.
[4]. T.L. Huang, X.L. Xue, Y. Zhang, M.S. Cui, Y.X. Zhang, L.X. Chen, B. Xiao, J.Q. Qi, Y.W. Sui, High-Capacity and Ultra-Long-Life Mg-Metal Batteries Enabled by Intercalation-Conversion Hybrid Cathode Materials, Small, 20 (2024), 2404898.
[5]. S.H. Yang, Q. Yin, Z.H. Song, F. Xu, Z.L. Xie, Y.J. Wu, S.L. Xu, Y.Z. Li, D.Y. Zhao, B. Xiao, X.L. Xue, J.Q. Qi, Y.W. Sui, J.B. Han, Introducing high-valence molybdenum to stimulate lattice oxygen in a NiCo LDH cathode for chloride ion batteries, Mater Horiz, (2023), 3429-3437.
[6]. Z.H. Song, Q. Yin, S.H. Yang, Y.D. Miao, Y.J. Wu, Y.Z. Li, Y.J. Ren, Y.W. Sui, J.Q. Qi, J.B. Han, A High-Nickel Layered Double Hydroxides Cathode Boosting the Rate Capability for Chloride Ion Batteries with Ultralong Cycling Life, Small, (2023),2302896 .
[7]. X.L. Xue, T.L. Huang, Y. Zhang, Q.J. Zhong, M.K. Tang, H. Shang, Y.X. Zhang, M.S. Cui, J.Q. Qi, H. Xu, Y.W. Sui, Synergy of electrolyte manipulation and separator functionalization enables ultralong-life nonaqueous magnesium-organic batteries, J Mater Chem A, 12 (2024) 24955-24965.
[8]. Q. Yin, Z.H. Song, S.H. Yang, G.D. Wang, Y.W. Sui, J.Q. Qi, D.Y. Zhao, L. Hou, Y.Z. Li, A nickel-based metal-organic framework as a new cathode for chloride ion batteries with superior cycling stability, Chem Sci, 14 (2023) 5643-5649.
[9]. B. Xiao, X.Y. Liu, Z.L. Xie, D.Y. Zheng, J.X. Zha, J.Q. Qi, F.X. Wei, Q.K. Meng, X.L. Xue, D.Y. Zhao, Y.Z. Li, Q. Yin, L. Ma, M.Y. Ge, X.H. Xiao, Y.W. Sui, S. Chen, J.C. Zheng, Zero-strain high entropy spinel oxide (FeNiCuCrMn)3O4@rGO as high-performance anode for sodium ion battery, Chem Eng J, 503 (2025),158269 .
[10]. Q. Yin, T.D. Wang, Z.H. Song, S.H. Yang, Y.D. Miao, Y.J. Wu, Y.W. Sui, J.Q. Qi, Y.Z. Li, D.Y. Zhao, G.H. Gao, J.B. Han, Computational high-throughput screening of layered double hydroxides as cathodes for chloride ion batteries, Chem Eng J, 459 (2023), 141545.
[11]. Y.Z. Li, G.D. Wang, R. Krishna, Q. Yin, D.Y. Zhao, J.Q. Qi, Y.W. Sui, L. Hou, A separation MOF with O/N active sites in nonpolar pore for One-step CH purification from CH or CH mixtures, Chem Eng J, 466 (2023), 143056.
[12]. X.W. Chen, Z.H. Xu, S. Guo, B. Sun, Q.J. Li, Q.K. Meng, F.X. Wei, J.Q. Qi, Y.W. Sui, P. Cao, Oxygen Vacancy-Rich Cobalt-Doped MnO Nanorods for Zn Ion Batteries, Acs Appl Mater Inter, 17 (2025) 12074-12084.
[13]. J.Z. Yuan, Y.X. Li, G.G. Lu, Z. Gao, F.X. Wei, J.Q. Qi, Y.W. Sui, Q.Q. Yan, S. Wang, Controlled Synthesis of Flower-like Hierarchical NiCo-Layered Double Hydroxide Integrated with Metal-Organic Framework-Derived Co@C for Supercapacitors, Acs Appl Mater Inter, 15 (2023) 36143-36153.
[14]. Y.D. Miao, X.L. Xue, Y.Y. Wang, M.Y. Shi, H.L. Tang, T.L. Huang, S.H. Liu, M. Zhang, Q.K. Meng, J.Q. Qi, F.X. Wei, S.F. Huang, P. Cao, Z.H. Hu, D.M. Meng, Y.W. Sui, Interlayer Engineering of VS Nanosheets via In Situ Aniline Intercalative Polymerization toward Long-Cycling Magnesium-Ion Batteries, Acs Appl Mater Inter, 15 (2023) 57079-57087.
[15]. X.W. Chen, B. Sun, Q.J. Li, N.N. Yu, Y.Z. Li, D.Y. Zhao, Q.K. Meng, F.X. Wei, J.Q. Qi, Y.W. Sui, P. Cao, Synergistic effect of Sn doped manganese oxide and conductive reduced graphene oxide for zinc ion battery, J Power Sources, 622 (2024),235318 .
[16]. Z. Gao, G.G. Lu, L.C. Cao, Z.X. Zhu, Y.X. Li, F.X. Wei, Z. Ji, Y.W. Sui, J.Q. Qi, Q.K. Meng, Y.J. Ren, Rationally designed MnO@ZnMnO/C core-shell hollow microspheres for aqueous zinc-ion batteries, Dalton T, 52 (2023) 1768-1776.

